Verwenden Sie den Prozentrechner, um beliebige Prozentsätze online zu berechnen. Geben Sie unten zwei Werte ein und klicken Sie auf die Schaltfläche „Berechnen“, um den dritten Wert zu erhalten.
Prozentrechner in alltäglichen Formulierungen
Um diese Prozentrechner zu verwenden, geben Sie einen Prozentsatz in das erste Feld und die Zahl, von der Sie den Prozentsatz berechnen möchten, in das zweite Feld ein. Klicken Sie anschließend auf "Berechnen", um das Ergebnis zu sehen.
| Wie viel ist % von ? |
|
|
| Um diesen Prozentrechner zu verwenden, geben Sie die erste Zahl in das linke Feld und die zweite Zahl in das rechte Feld ein und klicken Sie dann auf „Berechnen“, um herauszufinden, wie viel Prozent die erste Zahl von der zweiten Zahl ist. |
| ist wie viel Prozent von ? |
|
|
Prozentuale-Differenz-Rechner
Um diese Prozentrechner zu verwenden, geben Sie zwei Werte in die Felder „Wert 1“ und „Wert 2“ ein und klicken Sie anschließend auf „Berechnen“, um die prozentuale Differenz zwischen den beiden Werten zu ermitteln.
Was ist Prozentrechnung?
In der Mathematik ist ein Prozentsatz eine Zahl oder ein Verhältnis, das als Bruchteil von 100 ausgedrückt werden kann.
Wenn wir den Prozentsatz eines Wertes berechnen wollen, teilen wir die Zahl durch das Ganze und multiplizieren anschließend mit 100.
Das Wort Prozent bedeutet „von hundert“ und wird durch das Symbol „%“ dargestellt.
Wie berechnet man Prozentsätze?
In der Mathematik ist ein Prozentsatz eine Zahl oder ein Verhältnis, das einen Bruchteil von 100 darstellt.
Die Prozentrechnung erfolgt, indem man den Wert eines Verhältnisses mit 100 multipliziert. Beispiel:
Wenn 25 von 50 Schülern in einer Klasse männlich sind:
2550=12=0,5\frac{25}{50} = \frac{1}{2} = 0,5
Multipliziert mit 100 ergibt:
0,5×100=500,5 × 100 = 50
Mit anderen Worten: Das Verhältnis von 25 männlichen Schülern zu den Gesamtschülern in der Klasse entspricht 50 % der Schüler, die männlich sind.
Prozentformel
Um den Prozentsatz eines Wertes zu berechnen, verwendet man die folgende Methode.
Die Formel zur Berechnung von Prozentsätzen kann variieren, ist im Wesentlichen jedoch eine einfache algebraische Gleichung, die drei Bestandteile umfasst.


Um dies manuell zu berechnen, müssen Sie den Prozentsatz zuerst in eine Dezimalzahl umwandeln.
Das heißt: Um P in Prozent umzurechnen, multiplizieren Sie den Dezimalwert mit 100.
Das entspricht genau dem, was unser Rechner macht – mit dem Unterschied, dass er mit Prozentsätzen anstatt mit Dezimalzahlen beginnt.
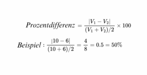
Formel zur Berechnung der prozentualen Differenz
Um herauszufinden, wie unterschiedlich zwei Werte in Prozent sind, teilt man die absolute Differenz zwischen den beiden Zahlen durch deren Durchschnitt und multipliziert anschließend mit 100, um das Ergebnis in einen Prozentsatz umzuwandeln.

Dreisatzregel Prozentrechnung
Beispiel einer Dreisatzregel zur Berechnung unbekannter Werte in Prozenten
Angenommen, Sie wissen, dass 40 % einer bestimmten Menge 78 entsprechen.
Um herauszufinden, wie viel 60 % dieser Menge sind, wenden Sie die Dreisatzregel an.

40 % entsprechen 78 und wir möchten 60 % berechnen, das sei X:
Stellen Sie sich vor, Sie haben 50 Äpfel und möchten wissen, wie viel Prozent 10 dieser Äpfel sind. Sie teilen 10 durch 50 und multiplizieren anschließend mit 100.
In Excel, wenn Sie den Prozentsatz eines Wertes berechnen möchten, verwenden Sie die Prozentformel in Excel =Teil/Gesamt*100.
Beispiel: Wenn Sie die Anzahl der Äpfel, die Sie gegessen haben (10 Äpfel), in Zelle A1 und die Gesamtzahl der Äpfel (50 Äpfel) in Zelle A2 haben, schreiben Sie in eine andere Zelle =A1/A2*100, um den Prozentsatz zu berechnen.
Um den Prozentsatz eines Wertes im Verhältnis zu einem anderen zu berechnen, teilen Sie einfach den spezifischen Wert (den „Teil“) durch den Gesamtwert (das „Ganze“) und multiplizieren das Ergebnis anschließend mit 100.
Beispiel: Wenn Sie 25 rote Turnschuhe von insgesamt 200 Turnschuhen haben, berechnen Sie den Prozentsatz folgendermaßen:
Prozentsatz = (25 ÷ 200) × 100 = 12,5 %
Das bedeutet, dass 25 rote Turnschuhe 12,5 % der insgesamt 200 Turnschuhe ausmachen.
Um einen Prozentsatz zu berechnen, macht man das Gegenteil vom Prozentsatz-Finden.
Wenn etwas 25 % beträgt und Sie wissen möchten, welcher Wert das von 200 ist, multiplizieren Sie 200 mit 0,25 (da 25 % als Dezimalzahl 0,25 ist).
Also: 200 × 0,25 = 50.
Wenn Sie im letzten Jahr 40 Murmeln hatten und in diesem Jahr 50 Murmeln,
um den prozentualen Anstieg zu berechnen, ziehen Sie zuerst die alte Zahl von der neuen Zahl ab:
50 – 40 = 10
dann teilen Sie die Differenz durch die alte Zahl:
10 ÷ 40 = 0,25
und multiplizieren mit 100, um den Prozentsatz zu erhalten:
0,25 × 100 = 25 %
Daher haben Sie Ihre Murmeln um 25 % vermehrt.
Um den Prozentsatz mit einem Taschenrechner zu berechnen,
wie in unserem ersten Beispiel: Wenn Sie 2 von 8 Pizzastücken gegessen haben und den Prozentsatz herausfinden möchten, geben Sie 2 geteilt durch 8 ein und multiplizieren Sie anschließend mit 100.
Das ergibt 25 %, das heißt, Sie haben 25 % der Pizza gegessen.
Um einen Bruch wie 1/4 in eine Prozentzahl umzuwandeln:
Man teilt den Zähler durch den Nenner (1 ÷ 4 = 0,25),
und multipliziert anschließend mit 100, um die Prozentzahl zu erhalten:
0,25 × 100 = 25 %.
Daher gilt: 1/4 = 25 %.
